CBSE Class 10 Mathematics 2016 Question Paper
The question paper consists of 31 questions divided into four sections - A, B, C and D. Section A contains 4 questions of 1 mark each. Section B contains 6 questions of 2 marks each, Section C contains 10 questions of 3 marks each and Section D contains 11 questions of 4 marks each.
SECTION - A
Question numbers 1 to 4 carry 1 mark each.
1. In figure, PQ is a tangent at a point C to a circle with centre O. If AB is a diameter and ∠CAB = 30°, find ∠PCA.

2. For what value of k will k+9, 2k-1 and 2k+7 are the consecutive terms of an A.P.?
3. A ladder, leaning against a wall, makes an angle of 60° with the horizontal. If the foot of the ladder is 2.5 m away from the wall, find the length of the ladder.
4. A card is drawn at random from a well shuffled pack of 52 playing cards. Find the probability of getting neither a red card nor a queen.
SECTION - B
Question numbers 5 to 10 carry 2 marks each.
5. If -5 is a root of the quadratic equation 2x2 + px - 15 = 0 and the quadratic equation p(x2 + x) + k = 0 has equal roots, find the value of k.
6. Let P and Q be the points of trisection of the line segment joining the points A(2, -2) and B(-7, 4) such that P is nearer to A. Find the coordinates of P and Q.
7. In Figure, a quadrilateral ABCD is drawn to circumscribe a circle, with centre O, in such a way that the sides AB, BC, CD and DA touch the circle at the points P, Q, R and S respectively. Prove that. AB + CD = BC + DA.

8. Prove that the points (3, 0), (6, 4) and (-1, 3) are the vertices of a right angled isosceles triangle.
9. The 4th term of an A.P. is zero. Prove that the 25th term of the A.P. is three times its 11th term.
10. In Figure, from an external point P, two tangents PT and PS are drawn to a circle with centre O and radius r. If OP = 2r, show that ∠OTS = ∠OST = 30°.

SECTION - C
Question numbers 11 to 20 carry 3 marks each.
11. In figure, O is the centre of a circle such that diameter AB = 13 cm and AC = 12 cm. BC is joined. Find the area of the shaded region. (Take π = 3.14)

12. In figure, a tent is in the shape of a cylinder surmounted by a conical top of same diameter. If the height and diameter of cylindrical part are 2.1 m and 3 m respectively and the slant height of conical part is 2.8 m, find the cost of canvas needed to make the tent if the canvas is available at the rate of Rs.500/sq. metre. (Use π = 22/7)

13. If the point P(x, y) is equidistant from the points A(a+b, b-a) and B(a-b, a+b). Prove that bx = ay.
14. In figure, find the area of the shaded region, enclosed between two concentric circles of radii 7 cm and 14 cm where ∠AOC = 40°. (Use π = 22/7)
15. If the ratio of the sum of first n terms of two A.P’s is (7n + 1) : (4n + 27), find the ratio of their mth terms.
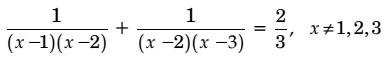
16. Solve for x: ![]()
17. A conical vessel, with base radius 5 cm and height 24 cm, is full of water. This water is emptied into a cylindrical vessel of base radius 10 cm. Find the height to which the water will rise in the cylindrical vessel. (Use π = 22/7)
18. A sphere of diameter 12 cm, is dropped in a right circular cylindrical vessel, partly filled with water. If the sphere is completely submerged in water, the water level in the cylindrical vessel rises by 35/9 cm. Find the diameter of the cylindrical vessel.
19. A man standing on the deck of a ship, which is 10 m above water level, observes the angle of elevation of the top of a hill as 60° and the angle of depression of the base of hill as 30°. Find the distance of the hill from the ship and the height of the hill.
20. Three different coins are tossed together. Find the probability of getting (i) exactly two heads (ii) at least two heads (iii) at least two tails.
SECTION - D
Question numbers 21 to 31 carry 4 marks each.
21. Due to heavy floods in a state, thousands were rendered homeless. 50 schools collectively offered to the state government to provide place and the canvas for 1500 tents to be fixed by the government and decided to share the whole expenditure equally. The lower part of each tent is cylindrical of base radius 2.8 m and height 3.5 m, with conical upper part of same base radius but of height 2.1 m. If the canvas used to make the tents costs Rs. 120 per sq.m, find the amount shared by each school to set up the tents. What value is generated by the above problem? (Use π = 22/7)
22. Prove that the lengths of the tangents drawn from an external point to a circle are equal.
23. Draw a circle of radius 4 cm. Draw two tangents to the circle inclined at an angle of 60° to each other.
24. In Figure, two equal circles, with centres O and O', touch each other at X.OO' produced meets the circle with centre O' at A. AC is tangent to the circle with centre O, at the point C. O'D is perpendicular to AC. Find the value of DO'/CO .

25. Solve for x: ![]()
26. The angle of elevation of the top Q of a vertical tower PQ from a point X on the ground is 60°. From a point Y, 40 m vertically above X, the angle of elevation of the top Q of tower is 45°. Find the height of the tower PQ and the distance PX. (Use √3 = 1.73)
27. The houses in a row are numbered consecutively from 1 to 49. Show that there exists a value of X such that sum of numbers of houses proceeding the house numbered X is equal to sum of the numbers of houses following X.
28. In figure, the vertices of ΔABC are A(4, 6), B(1, 5) and C(7, 2). A line-segment DE is drawn to intersect the sides AB and AC at D and E respectively such that AD/AB = AC/AE = 1/3. Calculate the area of ΔADE and compare it with area of ΔABC.
29. A number x is selected at random from the numbers 1, 2, 3 and 4. Another number y is selected at random from the numbers 1, 4, 9 and 16. Find the probability that product of x and y is less than 16.
30. In Figure, is shown a sector OAP of a circle with centre O, containing ∠θ. AB is perpendicular to the radius OA and meets OP produced at B. Prove that the perimeter of shaded region is ![]()
31. A motor boat whose speed is 24 km/h in still water takes 1 hour more to go 32 km upstream than to return downstream to the same spot. Find the speed of the stream.