CBSE Class 10 Mathematics Question Paper 2017
The question paper consists of 31 questions divided into four sections - A, B, C and D. Section A contains 4 questions of 1 mark each. Section B contains 6 questions of 2 marks each, Section C contains 10 questions of 3 marks each and Section D contains 11 questions of 4 marks each.
1. What is the common difference of an A.P. in which a21 - a7 = 84?
2. If the angle between two tangents drawn from an external point P to a circle of radius a and centre O, is 60°, then find the length of OP.
3. If a tower 30 m high, casts a shadow 10√3 m long on the ground, then what is the angle of elevation of the sun?
4. The probability of selecting a rotten apple randomly from a heap of 900 apples is 0.18. What is the number of rotten apples in the heap?
5. Find the value of p, for which one root of the quadratic equation px2 - 14x + 8 = 0 is 6 times the other.
6. Which term of the progression
is the first negative term?
7. Prove that the tangents drawn at the end points of a chord of a circle make equal angles with the chord.
8. A circle touches all the four sides of a quadrilateral ABCD. Prove that
AB + CD = BC + DA
9. A line intersects the y-axis and x-axis at the points P and Q respectively. If (2, -5) is the mid-point of PQ, then find the coordinates of P and Q.
10. If the distances of P(x, y) from A(5, 1) and B(-1, 5) are equal, then prove that 3x = 2y.
11. If ad ≠ bc, then prove that the equation
(a2 + b2)x2 + 2(ac + bd)x + (c2 + d2) = 0 has no real roots.
12. The first term of an A.P. is 5, the last term is 45 and the sum of all its terms is 400. Find the number of terms and the common difference of the A.P.
13. On a straight line passing through the foot of a tower, two points C and D are at distances of 4 m and 16 m from the foot respectively. If the angles of elevation from C and D of the top of the tower are complementary, then find the height of the tower.
14. A bag contains 15 white and some black balls. If the probability of drawing a black ball from the bag is thrice that of drawing a white ball, find the number of black balls in the bag.
15. In what ratio does the point (24/11, y) divide the line segment joining the points P(2, -2) and Q(3, 7)? Also find the value of y.
16. Three semicircles each of diameter 3 cm, a circle of diameter 4.5 cm and a semicircle of radius 4.5 cm are drawn in the given figure. Find the area of the shaded region.

17. In the given figure, two concentric circles with centre O have radii 21 cm and 42 cm. If ∠AOB = 60°, find the area of the shaded region. [Use π = 22/7]

18. Water in a canal, 5.4 m wide and 1.8 m deep, is flowing with a speed of 25 km/hour. How much area can it irrigate in 40 minutes, if 10 cm of standing water is required for irrigation?
19. The slant height of a frustum of a cone is 4 cm and the perimeters of its circular ends are 18 cm and 6 cm. Find the curved surface area of the frustum.
20. The dimensions of a solid iron cuboid are 4.4 m × 2.6 m × 1.0 m. It is melted and recast into a hollow cylindrical pipe of 30 cm inner radius and thickness 5 cm. Find the length of the pipe.
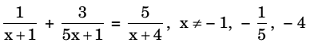
21. Solve for x:
![]()
22. Two taps running together can fill a tank in 3 1/13 hours. If one tap takes 3 hours more than the other to fill the tank, then how much time will each tap take to fill the tank?
23. If the ratio of the sum of the first n terms of two A.Ps is (7n + 1) : (4n + 27), then find the ratio of their 9th terms.
24. Prove that the lengths of two tangents drawn from an external point to a circle are equal.
25. In the given figure, XY and X'Y' are two parallel tangents to a circle with centre O and another tangent AB with point of contact C, is intersecting XY at A and X'Y' at B. Prove that ∠AOB = 90°.

26. Construct a triangle ABC with side BC = 7 cm, ∠B = 45°, ∠A = 105°. Then construct another triangle whose sides are 3/4 times the corresponding sides of the ΔABC.
27. An aeroplane is flying at a height of 300 m above the ground. Flying at this height, the angles of depression from the aeroplane of two points on both banks of a river in opposite directions are 45° and 60° respectively. Find the width of the river. [Use √3 = 1.732]
28. If the points A(k + 1, 2k), B(3k, 2k + 3) and C(5k - 1, 5k) are collinear, then find the value of k.
29. Two different dice are thrown together. Find the probability that the numbers obtained have
(i) even sum, and
(ii) even product.
30. In the given figure, ABCD is a rectangle of dimensions 21 cm × 14 cm. A semicircle is drawn with BC as diameter. Find the area and the perimeter of the shaded region in the figure.

31. In a rain-water harvesting system, the rain-water from a roof of 22 m × 20 m drains into a cylindrical tank having diameter of base 2 m and height 3.5 m. If the tank is full, find the rainfall in cm. Write your views on water conservation.